Gobierno de Trump da a ICE facultad para detener refugiados legales

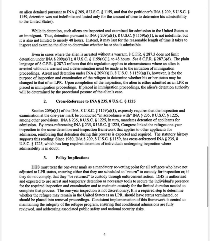
El Gobierno del presidente Donald Trump ha ampliado la autoridad del Servicio de Inmigración y Control de Aduanas (ICE, por sus siglas en inglés) para detener refugiados legales que han ingresado a Estados Unidos y no han obtenido la residencia permanente un año después de su llegada, de acuerdo con un memorando del Departamento de Seguridad Nacional (DHS) obtenido por CBS News.







Amplían facultades de ICE: podrán detener a refugiados legales
El memorando, fechado el 18 de febrero de 2026 y presentado en un tribunal federal, instruye al ICE a exigir que los refugiados que no han ajustado su estatus a residentes permanentes tras 12 meses regresen a custodia gubernamental para someterse a una nueva revisión de su caso y un proceso de reinspección y examen.
La directiva señala que estos refugiados pueden presentarse voluntariamente a una cita en una oficina migratoria para someterse a la revisión. Si no lo hacen, el memorando ordena al ICE localizarlos, arrestarlos y mantenerlos bajo custodia durante el proceso de inspección.
Según el documento, la medida tiene como objetivo revisar si los refugiados obtuvieron su estatus de forma fraudulenta o si representan un riesgo para la seguridad nacional o pública. La política reconoce que, bajo la ley de Estados Unidos, los refugiados deben solicitar la residencia permanente un año después de su ingreso.
La directiva también establece que, si durante la reinspección surgen señales de alerta, las autoridades podrían revocar el estatus de refugiado y proceder con trámites de deportación.
Revocación de lineamientos previos sobre refugiados en EE. UU.
El memorándum revoca políticas anteriores, entre ellas un lineamiento emitido en 2010 que establecía que la falta de ajuste de estatus, por sí sola, no constituía motivo suficiente para la detención.
El documento señala que, en adelante, prevalecerán las disposiciones contenidas en este nuevo memorándum en caso de existir inconsistencias con orientaciones previas.
El texto también indica que el DHS reconsideró las políticas anteriores y determinó rescindirlas para aplicar el procedimiento previsto en la sección 209 de la Ley de Inmigración y Nacionalidad.
Política migratoria del Gobierno de Trump
Esta ampliación de la autoridad de ICE ocurre en el marco de un incremento general en las acciones migratorias de la administración Trump. El DHS argumenta que estas medidas buscan reforzar procesos de verificación y seguridad, aunque también han sido objeto de impugnaciones en tribunales federales.
Organizaciones defensoras de derechos de inmigrantes han presentado recursos legales contra políticas similares y continúan cuestionando acciones de deportación y detención bajo la actual administración.
¿Tienes una denuncia o información que quieras compartir? Escríbenos al WhatsApp de Uno TV: +52 55 8056 9131. Tu mensaje puede hacer la diferencia.
Sigue a Uno TV en Google Discover y consulta las noticias al momento



